Hướng dẫn tính thể tích hình trụ chi tiết và dễ hiểu nhất

Công thức tính thể tích hình trụ là kiến thức nền tảng trong toán học hình học, được ứng dụng rộng rãi trong học tập và thực tiễn. Không chỉ giúp bạn giải quyết các bài toán học đường, khái niệm này còn mang nhiều ứng dụng thực tế, như tính thể tích bể nước, lon nước ngọt, hoặc các vật thể khác. Vậy thể tích hình trụ là gì? Trong bài viết dưới đây, chúng ta sẽ cùng tìm hiểu các công thức, khái niệm liên quan và cách áp dụng vào bài tập cụ thể.
Thể tích hình trụ là gì?
Thể tích hình trụ biểu thị không gian mà hình trụ chiếm giữ trong không gian ba chiều. Khái niệm này biểu thị lượng chất mà nó có thể chứa, thường được đo bằng đơn vị khối như cm³, m³ hoặc lít. Ví dụ, khi bạn đổ nước vào một chiếc lon nước ngọt, thể tích chính là lượng nước tối đa mà chiếc lon có thể chứa.
Thể tích của hình trụ phụ thuộc vào hai yếu tố chính: diện tích của đáy (là hình tròn) và chiều cao của hình. Công thức tính thể tích hình trụ khá đơn giản, chỉ cần biết bán kính đáy và chiều cao là bạn có thể tính toán dễ dàng.
Bạn có thể tìm hiểu thêm về hình trụ qua các bước đơn giản trên các trang web toán học. Sở hữu một chiếc điện thoại từ CellphoneS, bạn có thể tiện lợi học tập mọi lúc, mọi nơi. Các mẫu điện thoại với giá ưu đãi hấp dẫn dành cho học sinh, sinh viên tại CellphoneS chắc chắn sẽ là lựa chọn tuyệt vời để hỗ trợ quá trình học tập của bạn.
[Product_Listing categoryid="3" propertyid="" customlink="https://cellphones.com.vn/mobile.html" title="Danh sách điện thoại đang được quan tâm nhiều tại CellphoneS"]
Công thức tính thể tích hình trụ
Cách tính thể tích hình trụ được áp dụng theo công thức:
Trong đó:
- V: Thể tích của hình trụ.
- r: Bán kính đáy.
- h: Chiều cao
- π: Hằng số Pi (≈3.14159).

Công thức này được áp dụng trong rất nhiều tình huống thực tế, như tính thể tích các loại bình chứa dạng trụ, các ống dẫn, hay các bài toán trong lĩnh vực vật lý và kỹ thuật. Công thức này cũng rất hữu ích trong học đường, đặc biệt là trong việc giải quyết các bài toán hình học.
Các khái niệm liên quan đến hình trụ
Hình trụ là một dạng khối hình học quen thuộc, thường xuyên xuất hiện trong cả toán học và cuộc sống hàng ngày. Để hiểu rõ hơn về hình trụ, chúng ta cần nắm vững các khái niệm liên quan như mặt trụ, khối trụ và cách tính diện tích của nó. Dưới đây là những khái niệm chi tiết giúp bạn không chỉ hiểu lý thuyết mà còn dễ dàng áp dụng vào các bài tập cụ thể.
Mặt trụ
Mặt trụ là phần bề mặt cong bao quanh hình trụ, được tạo ra khi một hình chữ nhật xoay quanh một cạnh cố định của nó. Nó nối liền hai đáy của hình, tạo thành bề mặt bao quanh bên ngoài trụ. Mặt trụ không bao gồm phần diện tích của hai đáy mà chỉ là phần bề mặt cong. Trong không gian ba chiều, mặt trụ có dạng đối xứng tròn và mịn, mang lại tính thẩm mỹ cao.
Hình trụ
Hình trụ là một khối hình học ba chiều, gồm hai đáy hình tròn bằng nhau nằm song song, được liên kết bởi một mặt cong bao quanh. Các đáy của hình trụ thường được mô tả là nằm trên hai mặt phẳng song song. Chiều cao của hình trụ là khoảng cách vuông góc giữa hai mặt đáy. Hình trụ thường xuất hiện nhiều trong thực tế, chẳng hạn như thân cột trong kiến trúc, ống nước, hoặc các vật dụng như lon nước ngọt.
Khối trụ
Khối trụ là toàn bộ phần không gian bên trong hình trụ, bao gồm cả hai đáy hình tròn, mặt trụ, và thể tích bên trong. Khối trụ không chỉ là phần bề mặt bên ngoài mà còn bao gồm toàn bộ chất liệu hoặc vật chất được chứa bên trong nó. Ví dụ, nếu bạn có một chiếc lon nước, phần khối là tất cả không gian bên trong lon, nơi chứa nước.

Diện tích xung quanh của hình trụ
Diện tích xung quanh của hình trụ là bề mặt cong bao quanh toàn bộ hình trụ, loại trừ diện tích của hai đáy. Đây là một yếu tố quan trọng trong việc tính toán diện tích bề mặt tổng thể của trụ. Đặc biệt trong các ứng dụng như tính toán vật liệu bao bọc, sơn phủ hay phân tích các bài toán liên quan đến kết cấu hình học trong thực tế.
Cách tính diện tích xung quanh của hình trụ được áp dụng theo công thức.:
Trong đó:
- Axq: Diện tích xung quanh.
- r: Bán kính đáy.
- h: Chiều cao.
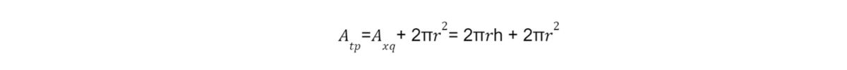
Diện tích toàn phần của hình trụ
Diện tích toàn phần của hình trụ là tổng diện tích của tất cả các bề mặt, bao gồm cả bề mặt cong bên ngoài và diện tích của hai đáy. Đây là một khái niệm quan trọng khi bạn cần tính toán vật liệu bao bọc hoặc sơn phủ toàn bộ bề mặt của một khối hình trụ trong thực tế.
Công thức tính diện tích xung quanh hình trụ là:

Hướng dẫn giải các dạng bài tập thể tích hình trụ
Việc giải các bài tập về thể tích hình trụ đòi hỏi bạn nắm vững các công thức và phương pháp tính toán. Dưới đây là hướng dẫn chi tiết các dạng bài tập thường gặp, kèm theo công thức, cách giải giúp bạn hiểu rõ hơn.
Dạng bài tính bán kính đáy hình trụ
Để xác định bán kính đáy của hình trụ, ta có thể sử dụng công thức tính thể tích của hình trụ.

Trong đó:
- V: Thể tích hình trụ.
- r: Bán kính đáy cần tính.
- h: Chiều cao của hình.
Công thức biến đổi để tính bán kính:

Ví dụ: Cho một hình trụ có thể tích V= 314cm3 và chiều cao h= 5cm. Tính bán kính đáy của hình.
Lời giải:
Vậy bán kính đáy của hình trụ là 4.47cm.
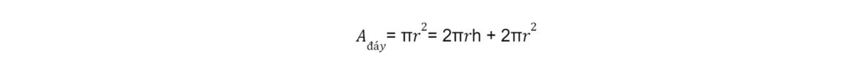
Dạng bài tính diện tích đáy hình trụ
Diện tích đáy của hình trụ là diện tích của hình tròn ở đáy, và nó được tính bằng công thức sau:

Để giải bài tập này, bạn cần biết bán kính r hoặc suy ra từ thể tích V và chiều cao h.
Ví dụ: Một hình trụ có bán kính đáy r= 6cm. Hãy tính diện tích đáy.
Lời giải:
Áp dụng công thức:
Vậy diện tích đáy của hình trụ là 36π≈ 113.04cm2
Dạng bài tính chiều cao hình trụ
Chiều cao của hình trụ có thể được tính nếu biết thể tích V và bán kính đáy r, bằng cách sử dụng công thức sau:

Ví dụ: Một hình trụ có thể tích V= 785cm3 và bán kính đáy r= 5cm. Hãy tính chiều cao của hình trụ.
Lời giải:
Áp dụng công thức:
Vậy chiều cao của hình trụ là 10cm.
Một số bài tập tính thể tích hình trụ có lời giải
Bài tập 1: Một bể chứa có hình dạng hình trụ, bán kính đáy là 3m và chiều cao là 5m. Tính thể tích của bể.
Lời giải:

Bài tập 2: Một lon nước có hình dạng hình trụ, với thể tích 330ml và bán kính đáy là 3 cm. Tính chiều cao lon.
Lời giải:
Vậy chiều cao của lon là 11.68cm.
Bài tập 3: Một hình trụ có diện tích đáy là 78.5cm2 và chiều cao là 10cm. Tính thể tích.
Lời giải:

Vậy thể tích là 785cm3.
Qua bài viết này, bạn đã nắm được công thức tính thể tích hình trụ, và cách áp dụng vào các bài tập thực tế. Việc nắm vững khái niệm” thể tích hình trụ là gì” không chỉ giúp bạn học tốt môn toán mà còn mở rộng khả năng tư duy logic và giải quyết vấn đề. Hãy luyện tập đều đặn để cải thiện kỹ năng giải toán và áp dụng vào các tình huống thực tế!

Bình luận (0)